

Kiger Wild Horses
Oregon Wild Horse Organization
fights to preserve and protect the unique Kiger wild horses.
Help us stay in the fight by donating today!

Thank you!
Thank you so sincerely for your generous donation to Preserve the Wild Kigers Auction. Your contribution is more than an item—it’s a stand for justice, a vote for compassion, and a powerful act of solidarity.
Every bid inspired by your gift brings us closer to protecting these magnificent horses. We are deeply grateful for your trust, your spirit, and your commitment to this fight.
With heartfelt appreciation,
Oregon Wild Horse Organization
On behalf of the Kiger herd and all who stand with them 🐎💛
Funds raised from the Preserve the Kigers auction will help our work to ensure the Kiger herds in Oregon remain off the Bureau of Land Management's 'Gather' Schedule until the BLM agrees to a genetically viable population and to stop scapegoating wild horses for the damage caused by livstock

The Kiger HMA and Riddle HMA are not on the proposed FY26 'Gather' Schedule
and we beleive this is because of our hard work to require change in how wild herds are managed. You can see the complete 'Gather' list of herds at risk of being rounded up here: Schedule

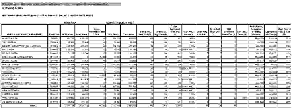
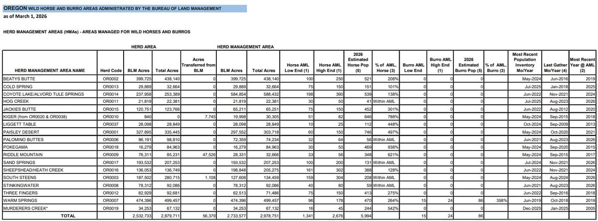
The Bureau of Land Management's 2026 Estimated Wild Horse and Burro Populations
BLM's population estimates are laughable.
In 2021, the estimate for wild horses was 71,735 and burros 14,454. In 2025, it was 53,797 horses and 19,333 burros. Now they claim 61,523 horses and 24,933 burros!
Between 2021 and 2025, BLM removed 52502 wild horses and 10685 burros. In 2021 they claim 52,000 horses and burro in holding and in 2025 they claim 64205 to 68000. Looking at those figures, thousands are just disappearing!
With BLMs logic, the removals don’t change a thing. The population just continues to increase and wild horses and burros breed like rabbits. The agency is feeding the public lies hoping we just won’t do the math so their dream of complete annihilation of our wild horse and burro populations will die out before we notice.
The population estimates are made up fantasies coming from the livestock-friendly agency tasked to protect these herds. This is a slap in the public's face and it’s time to call them out on their BS and inability to do math!
Timeline of the Legal Battle to Preserve the Kigers

The Mission
Defending the Wild with Science and Law
The current management levels for the Kiger and Riddle Mountain HMAs aren't just low—they’re genetically dangerous. We are suing to stop the BLM from scapegoating wild horses for damage caused by commercial livestock.
Our goal is a scientifically viable population of 200 breeding pairs per herd. By protecting their habitat today, we ensure the Kiger legacy doesn't become a memory. Help us stay in the fight by participating in our upcoming benefit auction.

Protect the Living Legends of the High Desert
The Kiger wild horses are the wild soul of Oregon and the last of their kind. But today, their future is at a breaking point. We are in a critical legal battle to stop the BLM from using unscientific population "targets" to justify the mass removal of this iconic herd.

They can’t fight in court, but you can.
The Bureau of Land Management is planning to round up hundreds of Kiger wild horses based on flawed science. Oregon Wild Horse Organization, Central Oregon Wild Horse Coalition, and Western Watersheds Project are in court to demand a future where these herds have enough space, enough grass, and enough genetic diversity to survive for generations.
Habitat protection isn't just an idea—it’s a legal necessity.

How you can help.
Your involvement is vital to the mission of safeguarding the Kiger Wild Horses. You can support us by making a donation to OWHO or participating in our fundraising auction, and by raising awareness of the importance of preserving this unique, iconic herd.
Or join us for our Preserve The Kiger Mustangs Auction to fund the experts and attorneys standing between these horses and the holding pens.
You can bid on items in the auction at:
Preserve the Kiger Mustangs Auction
Wild Horses and Their Place in the Ecosystem
Wild horses are a native species whose origins on the North American continent stretch back over 50 million years, making them one of the oldest and most deeply rooted inhabitants of the American West. Far from being outsiders, they have evolved alongside the high desert landscape — its sparse grasses, rocky terrain, and scarce water — developing into resilient, wide-ranging grazers perfectly suited to conditions that challenge most other large animals. In this role, they contribute meaningfully to the health of the ecosystems they inhabit: diversifying plant growth, enriching soil, sustaining predator populations, and providing resources that countless other species depend on. Understanding wild horses means recognizing them not as a romantic relic, but as a functional and irreplaceable part of the living web of the American West.
Can Music Save a Herd?
Finn G. (age 12) from Roseburg, OR, is using his music to speak for those who can’t. This unique Eastern Oregon herd is facing a massive government removal that threatens their genetic future.History repeats itself: In 1971, it was Roseburg students who started the movement to protect these "living symbols of the West." Now, a new generation is stepping up to protect our national heritage.
The Mission: Stop the removals and protect the genetic health of America’s most primitive wild herds. As Congress stated in 1971, these horses are an "integral part of the natural system" of our public lands.
Join Finn's plea. Share this video to keep the West wild.
#WildHorses #OregonWild #SaveTheMustangs #RoseburgOregon #FinnGMusic #KigerMustangs








